在碱性条件下,由α-卤代酮和β-酮基酯反应制备呋喃的反应。
反应机理:
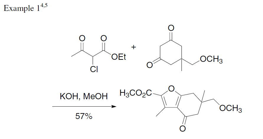
反应实例:
参考文献:
1. Feist, F. Ber. Dtsch. Chem. Ges. 1902, 35, 1537.
2. Bénary, E. Ber. Dtsch. Chem. Ges. 1911, 44, 489.
3. Bisagni, É.; Marquet, J.-P.; André-Louisfert, J.; Cheutin, A.; Feinte, F. Bull. Soc.
Chim. Fr. 1967, 2796.
4. Gopalan, A.; Magnus, P. J. Am. Chem. Soc. 1980, 102, 1756.
5. Gopalan, A.; Magnus, P. J. Org. Chem. 1984, 49, 2317.
6. Padwa, A.; Gasdaska, J. R. Tetrahedron 1988, 44, 4147.
7. Dean, F. M. Recent Advances in Furan Chemistry. Part I In Advances in Heterocyclic
Chemistry, Katritzky, A. R., Ed.; Academic Press: New York, 1982; Vol. 30,
167


