专注考研一站式资讯服务,涉及备考、复习,免费资料、辅导
复试、调剂、录取等所有环节您的考研之路将在我们的助力之下
乘风破浪、直济沧海!
只需要点击图片上边的《助力考研》即可!
上周讲了极限的定义和极限的三条性质,其中ε-δ语言需要理解掌握,并且可以很熟练的写出来,还要掌握极限的三条性质:唯一性、局部有界性、局部保号性。昨天讲了函数极限的计算,今天为大家讲解数列极限的计算,因为这部分会涉及不等式的证明问题,因此这部分也是最让同学们头疼的一部分。
数列通项已知且易于连续化:用归结原则 数列通项已知但不易连续化:用夹逼准则 数列通项由递推关系式给出:用单调有界准则数列极限计算的基本方法总结
接下来就用几个典型的例题带着同学们一起把数列极限计算方法介绍一下。
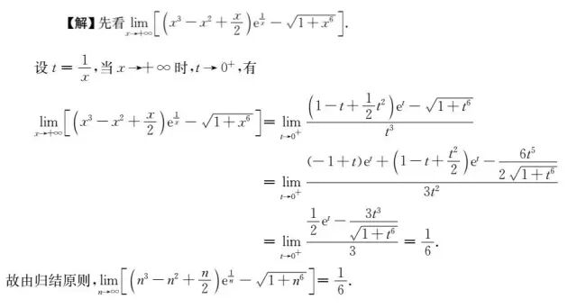
1.
这就是典型的数列通项已知且易于连续化题目,可以根据归结原则直接把n换成x做,正如解析中所示:
这又回到函数极限的计算,是无穷减无穷类型的未定式,还记得这种未定式怎么做吗?有分母的直接通分,没有分母的创造分母再通分,一般用倒代换来创造分母。
2.
这种类型的就是数列通项知道,但是不容易连续化,求极限用到的方法就是夹逼准则,分子不好动,可以直接把分母放缩,看解析:
两个放缩应该比较简单,前面是分母全减小至n,后面是分母全扩大至n+1,这道题的关键在放缩之后的式子,用到了定积分的精确定义,18讲中的第七讲讲到了这部分内容:
在实际考研题目中,放大或缩小那一步会有提示,一般都是考题的第一问,即使同学们想不到怎么放缩,也可以根据题目提示完成题目。
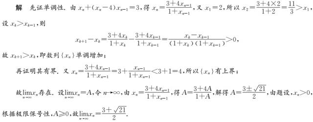
3.
数列通项是通过递推关系式给出来的,这种题目一般用单调有界准则来证明极限存在,然后再求极限。证明方法一般用到数学归纳法,求极限的方法为设数列极限为A,在通项两端同时取极限,得到一个关于A的方程,解出A即为极限值。看解析:
解析中证明数列有界的时候用到了不等式的一个简单放缩,在做不等式题目的时候一定要大胆尝试放缩,不要怕犯错。
更多好文在阅读原文


