专注考研一站式资讯服务,涉及备考、复习,免费资料、辅导
复试、调剂、录取等所有环节您的考研之路将在我们的助力之下
乘风破浪、直济沧海!
只需要点击图片上边的《助力考研》即可!
答案在文章最底部,同学们记得做完对答案哦!
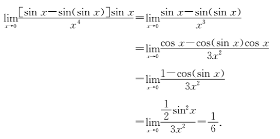
这是一道考研真题,还是一道十分的大题,所以极限这部分除了会跟后面的积分,中值定理或者级数等内容一起综合考查外也是会单独考查基本计算的。题目比较简单,还记得求极限的步骤吗?先化简,把非零因式提出来,然后判断类型,一共七种未定式,之后用求极限的工具(洛必达法则、等价无穷小的替换、四则运算法则、泰勒公式)来解答。关于等价无穷小的替换,要学会广义化,可以灵活运用。
更多好文在阅读原文


