2018考研倒计时
4
4
海天考研
中国考研辅导老字号
上百万考研学子的信赖之选
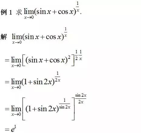
Top1. 两个重要极限
上榜理由:枕木上的铁轨
Top2. 等价无穷小
上榜理由:就像匕首插入敌胸膛
Top3. 洛必达法则
上榜理由:君子有成人之美
Top4. 已知分段函数在分界点连续或可导,求参数
上榜理由:向左走 | 向右走
Top5. 导数定义
上榜理由:最具Math味
Top6. 参数形式函数求导
上榜理由:混血王子&
Top7. 分部积分
上榜理由:简单就需要付出代价
Top8. 换元积分
上榜理由:微积分之倚天剑
Top9. 积分上限函数
上榜理由:需要吗?不需要吗?
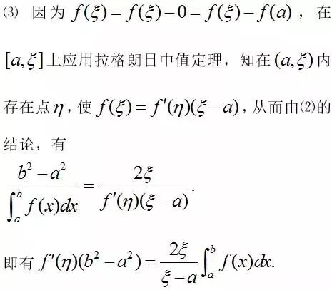
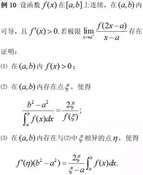
Top10. 综合题
上榜理由:恶心他妈给恶心开门
本文来源于网络,如有侵权请联系删除


