资环学院纪检部第九周公示
未按时早起
环工1702 邓谷 刘云鹏
地科1701 田辉盛
水保1702 张童欣 李泽森 坤杜孜·艾散 郝爽敬
早读迟到或早退
环工1701 陈梦娜 蒋凡(2次)宁圣迪(2次)贾焮凯(3次)
宁朝阳(3次)蔡永鑫(3次)
环工1702 闫朔 陈鹏飞 蒋祥江(2次)
地科1701 赵杼祺 薛金薇
地科1702 杨国强 夏鹏鹏
地科1703 何彤 陈羿汝 张若迁(2次)
水保1702 萨德克·克然木
水保1703 郑传朋
望其他同学引以为戒,按时早起。
资环学院团工委学生会纪检部
2017年11月4日
资源环境学院第六、七周早读出勤公示
以下同学第六、七两周出勤率不足50%,特此公示,希望其他同学引以为戒。
地信161:郑玄斡
环工162:李钰基 谷传禹 刘丁铭
资环161:鄢震
资环162:易慧喧 邢宇航
水保163:赵平南 王希栋 买买提·吐尔逊
资源环境学院团工委学生会学习部
2017年10月20日
资源环境学院第九周晚自习公示
晚自习迟到:
10月29日 周日:
地科1701:郭雯
环工1702:尚雨正春 徐凤璟
资环1702:卢礼超
11月2日 周四:
地科1703:李碧涵
资源环境学院团工委学生会学生习部
2017年11月3日
资源环境学院第八、九周早读出勤公示
地规161
地信161
地信162
环工161
环工162
环科161
环科162
资环161
资环162
水保161
水保162
水保163
签字:
资源环境学院团工委学生会学习部
2017年11月4日
资环生活部第9周公示
以下同学违反学生宿舍相关规定,造成不良影响,特此公示。希望各位同学引以为戒,养成良好的学习生活习惯!
被子未叠:
15级
7#404 2号床 邓天惠 地规1502班 学号:2015011400
7#408 2号床 陶振魁 资环1502班 学号:2015011553
7#405 1号床 杨海港 环工1501班 学号:2015011679
7#518 2号床 何昶序 地信1501班 学号:2015011493
16级
11#510 1号床 马尉程 环工1601班 学号:2016011638
11#517 2号床 于晓光 资环1601班 学号:2015011655
资源环境学院团工委学生会生活部
2017年11月3日
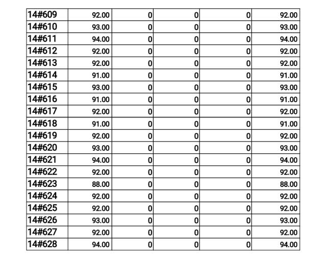
资源环境学院第九周宿舍检查成绩
以上均为我们按照例检规则严格打分成绩
如有问题请联系
生活部王雨涵 QQ:957544004
生活部刘治山 QQ:1217612936
生活部韩晓 QQ:527541700
图文来源:资环学院学习部
资环学院纪检部
资环学院生活部
图文编辑:范燕妮
指导老师:郭璋


