上海市社会科学界联合会主管主办
摘要
[目录]
一、RCEP的成员构成与全球地位
二、RCEP的一体化水平
三、RCEP区内成员趋同与贸易增长
四、RCEP框架下的规则与政策协调
五、RCEP与亚太地区的自贸区发展
六、结论与启示
在新冠肺炎疫情(COVID-19)全球快速蔓延、世界经济陷入严重衰退的背景下,中国、日本、韩国、澳大利亚、新西兰与东盟(ASEAN)10国即印度尼西亚、马来西亚、菲律宾、新加坡、泰国、文莱、越南、老挝、缅甸和柬埔寨的领导人于2020年11月15日,以视频会议形式正式签署《区域全面经济伙伴关系协定》(Regional Comprehensive Economic Partnership,简称RCEP)。RCEP的达成以及最终落实必将对区内外经济体的经济开放与发展以及彼此的经贸关系产生一定影响。本文首先简要回顾RCEP的发展历程、成员构成以及在全球中的地位;然后分析RCEP的一体化水平以及中国与RCEP经济体的价值链关联关系;在此基础上,采用Helpman方法分析RCEP区内成员的相似度变化及其对区内贸易的影响,并基于中国视角分析这些经济体与中国关系的异质性;接着比较分析RCEP框架下的规则与政策协调;最后讨论亚太地区以及中国的自由贸易区的建设与发展。
一、RCEP的成员构成与全球地位
RCEP最早由东盟10国在2012年发起,历经8年谈判,最终在这次领导人会议期间如期签署,成为亚太经济一体化发展过程中取得的一项成果。实际上,RCEP签署前的多轮谈判参加方是包括印度在内的16个国家,但印度在最后时刻决定不加入该贸易协定。因此,最终的协定签署方是15个国家。
在RCEP中,有7个国家是CPTPP(Comprehensive Progressive Trans-Pacific Partnership,即《全面且渐进的跨太平洋伙伴关系协定》)成员,包括日本、澳大利亚、新西兰以及4个ASEAN成员国即文莱、马来西亚、新加坡和越南。因此,RCEP与CPTTP、ASEAN的成员存在着交叉,它们的关系如图1所示。
图 1 RCEP与ASEAN、CPTPP的经济体构成及其关系
资料来源:作者制作整理而成。
根据世界银行标准,RCEP国家的收入水平跨越三个等级,最高实际人均GDP(新加坡)是最低实际人均GDP(柬埔寨)的48倍(见表1)。其中,高收入国家6个、中高收入国家3个、中低收入国家6个。因此,RCEP是一个比较典型的垂直型FTA。
就人口规模而言,RCEP有8个国家的人口规模位于世界前27位,它们依次是中国(第1位)、印度尼西亚(第4位)、日本(第10位)、菲律宾(第13位)、越南(第15位)、泰国(第20位)、缅甸(第26位)、韩国(第27位)。此外,目前全球超过1亿人口的国家和地区总共有13个,RCEP就有4个,分别是中国、印度尼西亚、日本和菲律宾。RCEP的全部人口占世界总人口(约75.94亿)的比重接近30%。
就以GDP衡量的经济规模而言,RCEP合计占全球GDP的近28%,其中日本、中国两国的GDP合计占全球GDP的20.6%,排名全球第2位和第3位。此外,韩国(第14位)、印度尼西亚(第17位)、澳大利亚(第27位)、泰国(第28位)、马来西亚(第31位)、新加坡(第35位)、菲律宾(第36位)等7国的GDP排名进入全球前40位。
表1 RCEP成员方的收入水平、规模及贸易
在国际贸易方面,RCEP成员方的进出口总额占全球的比重超过25%。其中,货物贸易进口占25.66%、货物贸易出口占28.63%、服务贸易进口占23.51%、服务贸易出口占16.98%。中国和日本分别为全球第二大贸易国和第五大贸易国。此外,韩国(第9位)、新加坡(第11位)、澳大利亚(第22位)、泰国(第24位)、越南(第25位)、马来西亚(第31位)、印度尼西亚(第32位)、菲律宾(第38位)等8国的贸易量排名进入全球前40位。
如果将RCEP与其他主要FTA进行比较(见表2),则显示:以人口规模衡量,RCEP无疑是全球最大的FTA,其人口是欧盟-28国的4.4倍、是USMCA的4.6倍、是ASEAN的3.4倍、是TPP-12国的2.7倍。但以GDP、贸易、投资等指标衡量,RCEP并不是全球最大的FTA。如果以GDP、贸易与投资流量衡量,欧盟则超过了表2中的其他FTA;而以投资存量衡量,USMCA则排名第一。
表2 RCEP与其他主要FTA的比较
注:相应指标(人口、GDP、进出口、FDI)的占比为各国分别占世界的百分比重(%)。EU-28表示欧盟28国(即包括奥地利、比利时、丹麦、芬兰、法国、德国、希腊、爱尔兰、意大利、卢森堡、荷兰、葡萄牙、西班牙、瑞典、英国、塞浦路斯、捷克、爱沙尼亚、匈牙利、拉脱维亚、立陶宛、马耳他、波兰、斯洛伐克、斯洛文尼亚、罗马尼亚、保加利亚、克罗地亚),EU-27表示去掉英国(脱欧)之后的27国。Euro-19表示欧元区19国(即包括奥地利、比利时、塞浦路斯、芬兰、法国、德国、希腊、爱尔兰、意大利、卢森堡、马耳他、荷兰、葡萄牙、斯洛文尼亚、西班牙、斯洛伐克、爱沙尼亚、拉脱维亚、立陶宛)。USMCA-3为美国—墨西哥—加拿大自贸区,其前身为北美自贸区(NAFTA)。TTP-12表示包含美国在内的《跨太平洋伙伴关系协定》(TPP)12国,CPTTP-11表示美国退出之后的《全面且渐进的跨太平洋伙伴关系协定》(CPTPP)11国。ASEAN-10表示东盟10国。
数据来源:人口、GDP及贸易数据均来自世界银行2018年的数据。OFDI与IFDI数据为2019年数据,来自UNCTAD。
二、RCEP的一体化水平
本部分基于国际比较,首先从区内外贸易的角度评估RCEP的一体化水平,然后分析RCEP国家与中国的价值链关联。
(一)区内外贸易比较
根据WTO的报告,目前全球范围内的自由贸易区很多,但各个自由贸易区的发展水平不一。总体来看,以区内贸易量、自由化程度衡量美国等发达经济体主导的自由贸易区发展水平较高、层次也较高,比如USMCA、欧盟及欧元区等;但以发展中经济体主导的自由贸易区发展却不尽如人意,比如,在拉丁美洲、南美洲、非洲的自由贸易区。
我们首先将RCEP与ASEAN进行比较,同时观察作为区内第一大经济体的中国与第二大经济体的日本在其中的作用。图2(1)显示,在2000—2019年样本时期里,RCEP-15国的区内货物贸易出口占其总出口的比重约为40%、区内货物贸易进口占其总进口的比重约为45%,也就是说RCEP-15国合计有60%的出口是面向区外的、有超过50%的进口是来自区外的。如果我们仅仅看RCEP中的ASEAN-10国[见图2(2)],则其区内进出口贸易所占比重只有25%左右,即意味着ASEAN-10国75%的国际贸易是在区外发生的。所以,从ASEAN-10国到RCEP-15国,我们看到了区内贸易的上升。这显然主要归功于另外5个国家的加入。那么,在这其中,中国与日本的作用有何不同呢?
图2 RCEP与ASEAN的区内外货物贸易量比较:
中国和日本的作用(%)
注:图中指标“区内出口”“区外出口”“区内进口”“区外进口”分别表示FTA的区内出口、区外出口分别占总出口的百分比(%),区内进口、区外进口分别占总进口的百分比(%)。数据来源:基于CEIC数据计算整理而得。
RCEP如果不包括中国的话[见图2(3)],其区内贸易占比将趋于下降。比如,2019年的区内出口占比与区内进口占比分别由RCEP-15国情形下的40.3%、47.3%降至RCEP-14国(不含中国)情形下的31.89%、32.37%。RCEP如果不包括日本的话[见图2(4)],其区内贸易占比也是趋于下降的,但下降幅度小于不包括中国时候的下降幅度。比如,2019年的区内出口占比与区内进口占比分别由RCEP-15国情形下的40.3%、47.3%降至RCEP-14国(不含日本)情形下的33.1%、38.88%。也就是说,相对于日本,中国对RCEP区内贸易的提升起着更大的作用。
ASEAN如果包括中国的话[见图2(5)],其区内贸易占比变化不大,而且进出口的表现略有不同。比如,2019年的区内出口占比由ASEAN-10国情形下的23.42%降至“ASEAN-10国+中国”情形下的22.86%,但区内进口占比则由ASEAN-10国情形下的21.32%升至“ASEAN-10国+中国”情形下的25.55%。ASEAN如果包括日本的话[见图2(6)],其区内贸易占比也是趋于上升的。比如,2019年的区内出口占比与区内进口占比分别由ASEAN-10国情形下的23.42%、21.32%升至“ASEAN-10国+日本”情形下的25.82%、24.65%。也就是说,相对于中国,日本对ASEAN区内贸易的提升起着更大的作用。
接下来,我们将RCEP与目前全球其他几个重要的FTA如欧盟(EU)、欧元区、USMCA、TPP/CPTTP、南部共同市场(Common Market of the South,MERCOSUR)等进行比较。由图3可知,在所列举的FTA中,欧盟(28国)区内贸易进出口占其总进出口的比重最高,超过60%。其次是欧元区,其区内贸易占比在50%左右。然后是美加墨FTA与包含美国在内的TPP-12国,它们的区内贸易所占比重均超过40%(区内出口占比更高,达到50%),但不包括美国的CPTPP-11国的区内贸易占其总体对外贸易的比重不足20%,与南部共同市场的区内贸易占比相当。
图3 全球主要FTA的区内外货物贸易量比较(%)
注:图中指标“区内出口”“区外出口”“区内进口”“区外进口”分别表示FTA的区内出口、区外出口分别占总出口的百分比(%),区内进口、区外进口分别占总进口的百分比(%)。图中假定成员整个样本时期里是不变的,未考虑不同时点FTA成员的变化。南部共同市场(Common Market of the South,MERCOSUR)包括阿根廷、巴西、巴拉圭、乌拉圭4国。数据来源:基于CEIC数据计算整理而得。
比较图3与图2可知,RCEP-15国的区内贸易水平相当于美加墨FTA与包含美国在内的TPP-12国,而ASEAN-10国的区内贸易水平则与不包括美国的CPTPP-11国和南部共同市场相当。但可以肯定的是,目前RCEP-15国的区内贸易还未达到欧盟和欧元区的水平。
(二)与中国的价值链关联分析
我们从全球的视角分析中国与RCEP经济体的价值链关联,为此构造两个指数:(1)中国(CHN)对伙伴经济体(i)的价值链依赖(记为CHN_Dep),即,等于来自伙伴经济体的增加值(
)占中国全部增加值(
)的份额(%),该值越大则意味着中国对伙伴经济体的价值链依赖就越强。(2)伙伴经济体对中国的价值链依赖(记为Partner_Dep)即
,等于伙伴经济体的全部增加值(
)中来自中国的增加值(
)所占份额(%),该值越大则表明伙伴经济体对中国的价值链依赖程度就越高。本部分的计算主要基于Eora跨国投入—产出数据,该数据目前更新至2015年。
表3列出了中国的前20位价值链伙伴。从CHN_Dep看,来自前20个经济体的增加值占中国最终品(包括国内使用与出口)所含外国增加值的比重超过80%,因此具有很强的代表性。2015年,中国价值链依赖程度最高的4个经济体始终是日本、韩国、美国和德国。RCEP经济体进入前20位的主要是印度尼西亚、马来西亚、泰国和新加坡。非洲经济体进入前20位的只有安哥拉(AGO)。其他进入前20位的经济体主要是一些发达国家如澳大利亚、法国、英国、意大利、加拿大、荷兰、瑞典、瑞士等。因此,至少从目前的数据看,中国对发达经济体的价值链依赖程度较高。从Partner_Dep看,在前20位经济体中,RCEP经济体主要是越南、新加坡、韩国、马来西亚、柬埔寨和泰国。
表3 中国与全球代表性经济体的价值链关联(%):
前 20 位伙伴经济体
注:*表示 RCEP 成员国。“变化”表示 2015 年的数值减去 2002 年的数值。对于 CHN_Dep,(a)为前 20 大经济体总和;(b)为全球总和;(c)为前 20 大经济体所占比重。对于 Partner_Dep,(a)为前 20 大经济体平均;(b)为全球平均。
数据来源:基于计算 Eora 跨国投入—产出数据计算而得。
所以,总体上,中国的双边价值链关联关系呈现出很明显的非对称性:中国对发达经济体的价值链依赖程度较高,而低收入发展中国家对中国的价值链依赖程度较高。
三、RCEP区内成员趋同与贸易增长
本部分主要分析RCEP区内成员经济规模(以GDP衡量)的相对变化(用相似性指标衡量)及其对区内成员方之间贸易流的影响,以此来评估RCEP发展动态及可持续性。
(一)分析方法
我们这里主要采用Helpman的思路与分析方法。Helpman基于自己与Krugman一起建立的模型推导出一个结构等式,以解释为什么第二次世界大战之后发达国家之间的产业内贸易持续上升。在模型中,规模经济(scale economies)与产品差异性(product differentiation)导致专业化(specialization),因而每个国家生产不同品种的产品。由于国家之间的偏好是相同的和位似的,所以它们对每种产品的消费与其自身的GDP成比例。于是,在贸易平衡以及不存在贸易壁垒的情况下,随着国家之间变得越来越相似、它们比世界其余地方增长得更快,则它们之间的贸易占它们GDP的比重将趋于上升。这样,对于一组国家A而言,以上思想可以用下列公式表示:
其中,VA表示A中的所有国家j之间的双边贸易总额,YA表示A中的所有国家GDP总额,Yj表示A中的国家j的GDP,sA表示A的GDP总额占世界GDP的比重。
公式(1)最右边等式的括号里部分即就是Helpman定义的规模离散指数(size dispersion index),又被称为相似度指数(similarity index)。为了理解该指数的特点,假定A有N个国家,当每个国家的相对规模都是1/N时,则该指数将达到最大值(=1-1/N);如果其中一个国家的相对规模接近1,则该指数将趋于0。因此,公式(1)表明:一组国家区域内的贸易额占其GDP比重与相似度指数成正比、与该组国家GDP总额占世界GDP的比重成正比。也就是说,随着区域内国家经济规模变得越来越相似,它们之间的贸易额将不断增长;随着该组国家的经济规模越来越大,它们之间的贸易额将不断增长。
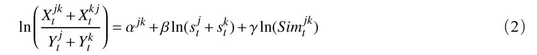
为了检验A组(就是本文关注的RCEP等相关FTA)国家中任意两国(国家j与国家k)的经济规模与其双边贸易额之间的关系,我们将公式(1)两边取对数,得:
其中,αjk表示每个组对国家(coutry pair)的固定效应,sjt和skt分别表示组内国家j和k的GDP占世界GDP比重,。
值得注意的是,在回归公式(2)时,如果组内国家GDP占世界GDP的比重在样本时期里保持不变的话,则固定效应αjk将会把该项吸收掉。这就是Hummels和Levinsohn隐含的假定。我们这里的经验分析将考虑两种情形:(1)去掉“组内国家GDP占世界GDP的比重”这一项,将这一比重看作是固定不变的;(2)加上“组内国家GDP占世界GDP的比重”这一项,将这一比重看作是可变的。
(二)分析结果
表4报告了基于公式(2)的回归结果。我们将RCEP与其他几个代表性FTA进行比较。回归模型(1)、(2)、(3)将区域内经济体占世界GDP的比重看作是固定不变的,回归模型(4)、(5)、(6)将区域内经济体占世界GDP的比重看作是可变的。每一组回归都分别考虑了混合OLS回归、国家组对(country pair)固定效应以及2SLS回归。在进行2SLS回归时,我们仿照Debaere的做法,采用经济体的人口份额作为GDP份额的工具变量,然后使用预测的GDP值计算国家份额与相似度指数。
根据基本模型公式(1),相似度的系数应该等于1。因此,我们主要关注回归公式(2)中的相似度系数γ是否接近1。表4显示,对于RCEP而言,所有模型设定中的相似度系数γ都是在1%的水平上显著为正,系数值在0.725至1.893之间。考虑IV之后的回归系数γ较大,但也都是显著为正。总之,在2000—2019年这一样本时期里,无论是在区内经济体占世界GDP份额不变还是区内经济体占世界GDP份额可变的情况下,随着RCEP区域内各国的经济规模变得越来越相似,它们之间的贸易额趋于增加。我们也同时发现,随着RCEP区域内各国的经济规模越来越大,它们之间的贸易额也趋于增加。
表4 区内国家相似度与贸易量的关系:
RCEP 与其他 FTA 的比较
注:系数下面的括号内数值为稳健标准差。*、**、***分别表示在 10%、5%、1% 的水平上显著。RMSE 为均方根误差,用来显示回归模型的效果和预测力。Pool 为混合 OLS 回归。FE 为国家组对(country pair)固定效应。IV 为 2SLS 回归,即采用经济体的人口份额作为 GDP 份额的工具变量,然后使用预测的 GDP 值计算国家份额与相似度指数。样本时期为2000—2019 年。
对于ASEAN、TPP-12国、CPTPP-11国、欧元区-19等FTA而言,以上结论也基本成立。
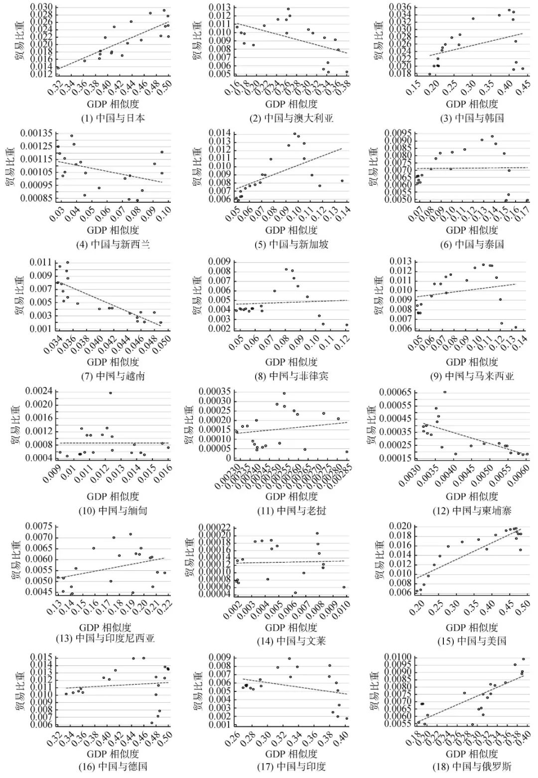
表4给出的是RCEP回归总体情况,可能会掩盖特定经济体的异质性。为此,我们接下来专门观察中国与每个RCEP成员国在经济规模上的趋同性及其对双边贸易的影响,同时将之与区外的国家如美国、德国、俄罗斯和印度进行比较。
由图4可知,2000—2019年,随着中国与其他每个RCEP成员国的经济规模变得越来越相似,中国与后者之间的双边贸易额占双方GDP总额的比重并不都是趋于增加的:中国与日本、韩国、新加坡、马来西亚、老挝、印度尼西亚的双边贸易额比重是趋于上升的,但中国与澳大利亚、新西兰、越南、柬埔寨的双边贸易额比重是趋于下降的,中国与泰国、菲律宾、缅甸、文莱的双边贸易额比重基本保持不变。也就是说,中国与RCEP大多数成员国在经济规模趋同的同时,并未带来双边贸易额比重的上升。
图4 GDP 规模趋同性与双边贸易量占
双方 GDP 总额的比重
注:基于公式(1),计算双方 GDP 的相似度(横轴)与双边贸易占双方 GDP 总额的比重(纵轴)。样本时期均为 2000—2019 年。
再看RCEP区外国家。特别显著的是,随着中国与美国的经济规模变得越来越相似,双方之间的贸易额占双方GDP总额的比重是趋于增加的。中国与俄罗斯的双边情况与之类似。但随着中国与印度的经济规模变得越来越相似,双方之间的贸易额占双方GDP总额的比重则是趋于下降的。此外,随着中国与德国的经济规模变得越来越相似,双方之间的贸易额占双方GDP总额的比重也是趋于增加的,但并不十分明显。
以上发现意味着,中国在选择贸易伙伴特别是选择FTA伙伴时,应该考虑伙伴方的异质性及其可能带来的影响。
四、RCEP框架下的规则与政策协调
协定文本及其体现的一系列规则与政策,不仅是FTA运行的法律基础,也能反映FTA的自由化与高端化水平。为了弄清RCEP框架下的规则与政策协调,我们将RCEP的协定文本与WTO、TPP/CPTTP、USMCA的协定文本进行比较(见表5)。
首先,仅仅从文本结构或规则框架看,RCEP包括20章,TPP有30章,USMCA多达34章,WTO协定包括13个货物贸易协定以及《服务贸易协定》(GATS)、《与贸易有关的知识产权协定》(TRIPS)、《关于争端解决规则与程序的谅解》《贸易政策审议机制》《信息技术协定》、2个诸边贸易协定即《民用航空器贸易协定》和《政府采购协定》。通过表5的比对,我们可以看出,与TPP、USMCA不同的是,RCEP文本中没有关于“国有企业”“环境”“劳工”和“反腐败”的专门章节。此外,在USMCA文本中,还有关于“宏观经济政策和汇率事项”的专门章节(第33章)。因此,从覆盖范围与自由化程度看,RCEP远不及TPP与USMCA,它与WTO应该属于同一级别。
其次,从具体的条款内容看,RCEP与TPP、USMCA相比也存在较大差距。比如,在服务贸易方面,RCEP继承了GATS的传统。一方面将服务贸易分为四种模式(即跨境提供、境外消费、商业存在和自然人流动),其中与直接投资密切相关的“商业存在”模式受制于贸易规则而非投资规则。另一方面,对服务部门开放的承诺既可以采取正面清单方式,也可以采取负面清单方式。但在TPP、USMCA中,服务贸易的“商业存在”模式受制于投资规则,服务部门开放均采取负面清单方式。还比如,在政府采购方面,RCEP仅限于中央政府采购实体,且主要规定透明度义务,但只有8个条款、没有具体承诺的附件,远不及WTO《政府采购协定》的规范化和开放水平。但TPP、USMCA在政府采购方面体现了更加公平化、国际化和自由化的特征,远超过WTO《政府采购协定》的规范化和开放水平。
表5 RCEP与WTO、TPP/CPTTP、USMCA
的主要章节条款比较
总之,RCEP并不是一个高水准和高水平的FTA,它的优势在于将ASEAN与另外5国签订的双边FTA整合成一个统一的、涵盖更大范围的区域性FTA。从削减投资领域、服务贸易等领域的非关税壁垒的角度看,RCEP还有很长一段路要走。
五、RCEP与亚太地区的自贸区发展
亚太地区的经贸合作非常活跃,自由贸易区发展势头并不逊于北美地区与西欧地区。比如,目前的FTA有ASEAN、TPP/CPTTP与RCEP(如图1所示)。此外,该地区还有一个并非FTA的合作机制——“亚太经合组织”(以下简称APEC)。成立于1989年11月的APEC目前共有21个经济体(见图5),涵盖的人口、国内生产总值和贸易额均约占世界总量的一半或以上,在全球经济活动中占据举足轻重的地位。但在APEC框架下亚太地区要实现如同北美自由贸易区和欧盟那样的高水平经贸合作目标,仍然存在较多的障碍。
图5 目前APEC和TPP/CPTTP的经济体构成及其关系
注:TPP最早可追溯至1998年美国的一项提议即建议澳大利亚、新西兰、智利、新加坡与美国之间就PTA展开谈判,但由于种种原因,澳大利亚、智利与美国没有跟进;结果,新西兰与新加坡达成了《新—新更紧密经济关系协定》(Agreement on a New Zealand-Singapore Closer Economic Partnership, ANZSCEP),后来智利对此感兴趣。于是,在2002年10月,在墨西哥洛斯卡沃斯召开的APEC第10次领导人非正式会议期间,新加坡、新西兰、智利三国就缔结自由贸易协定(FTA)问题达成一致意见。2003年9月,三国在新加坡开始正式谈判;2005年4月,文莱参加了最后一轮谈判;2005年5月,新加坡、新西兰、智利和文莱签署了名为《跨太平洋战略经济伙伴关系协定》(Trans-Pacific Strategic Economic Partnership,P4)的自由贸易协定。2008年2月美国宣布加入,并于2009年11月提出将P4扩大为《跨太平洋伙伴关系协定》(TPP)。
资料来源:作者根据Capling and Ravenhill(2011)、APEC官方网站(http://www.apec.org/)整理而成。Capling, Ann and John Ravenhill, 2011, “Multilateralising Regionalism: What Role for the Trans-Pacific Partnership Agreement?” The Pacific Review, Vol. 24, No. 5, pp. 553-575.
早在2010年11月,APEC第18次领导人非正式会议发表《横滨宣言》,提出在建立贸易和投资更为自由化、更为开放的APEC共同体的同时,把推进亚太自由贸易区(Free Trade Area of the Asia-Pacific,FTAAP)作为建立紧密的亚太共同体的基本途径,并强调以三个已有的区域性合作机制,即“10+3”(东盟+中、日、韩)、“10+6”(东盟+中、日、韩、印、澳、新)和TPP为基础,使之进一步发展,最终缔结综合性的自由贸易协定。由于之前以“10+3”为基础的东亚自由贸易区和以“10+6”为基础的东亚共同体尚在协商或构想之中,而TPP则已生效多年并逐渐扩大,因而受到普遍关注。
如果美国没有退出TPP的话,那么按照当时的发展态势,TPP可能发展成为全球最大的自由贸易区(见表2)。这12个经济体拥有超过8.3亿的人口,占全球总人口的11%;国内生产总值合计30万亿,约占全球GDP的37%;这些经济体的贸易总额与FDI流量总额占全球的比重分别超过1/4与1/3。更为重要的是,TPP的贸易自由化程度大大高于以WTO为代表的多边贸易自由化的程度,可以说是WTO多边贸易体制的“升级版”。
此外,一段时期以来,在亚太地区的自贸区建设与发展过程中,存在着两条路径:一个是跨太平洋路径(Trans-Pacific Track),基本上由美国主导;另一个是亚洲路径(Asian Track),中国试图去主导(如图6所示)。前者是在美国加入之后的TPP基础上发展,并逐渐扩大。后者是在中日韩自贸区达成的基础上发展,并进一步扩大。尽管这两种路径最终都有可能导致APEC-21个经济体更大范围的自贸区即FTAAP(亚太自由贸易区),但这两条路径之间的竞争是不言而喻的。
图6 亚太自贸区建设的可能路径
资料来源:作者根据Petri et al.(2011)、Itakura and Lee(2012)以及APEC官方网站(http://www.apec.org/)、ASEAN官方网站(http://www.aseansec.org/)整理而成。Peter A. Petri, Michael G. Plummer and Fan Zhai, “The Trans-Pacific Partnership and Asia-Pacific Integration: A Quantitative Assessment,” East-West Center Working Papers, 2011, No. 119, October; Itakura, Kee and Hiro Lee, “Welfare Changes and Spectral Adjustments of Asia-Pacific Countries under Alternative Sequencings of free Trade Agreements,” OSIPP Discussion Paper, 2012, DP-2012-E-005.
RCEP的达成意味着亚洲路径取得了重要进展,尽管这一进展并非沿着当初的亚洲路径。同时,这一进展也并非意味着中国在亚太自贸区发展中获得了主导性地位,但这一进展一定表明美国退出TPP对美国自身而言并非明智之举。因此,从这个意义上讲,美国重返TPP(即目前的CPTTP)是符合美国自身战略利益的。一旦美国重返CPTPP,那么亚太地区将再现两条自贸区发展路径的竞争。所以,对中国而言,赶在美国重返之前加入CPTPP可能是一项战略之策,但这取决于中国在多大程度上接受并执行CPTPP的条款以及CPTPP成员的接纳意向,因为CPTPP的自由化程度要高于目前的RCEP。
在亚太地区经贸合作不断加强的大背景下,中国自身的自贸区建设这些年也取得了长足的进展(如表6所示)。截至目前,中国(大陆)已经结束谈判、正在实施的自贸区18个,涉及24个经济体(即澳大利亚、智利、哥斯达黎加、中国香港、冰岛、中国澳门、新西兰、巴基斯坦、秘鲁、韩国、瑞士、马尔代夫、格鲁吉亚、毛里求斯以及东盟10国即文莱、柬埔寨、印度尼西亚、老挝、马来西亚、缅甸、菲律宾、新加坡、泰国、越南)。目前处于谈判中的FTA有7个,伙伴方包括海湾合作委员会(Gulf Cooperation Council,GCC)6国(即沙特阿拉伯、阿联酋、科威特、阿曼、卡塔尔和巴林)、日本和韩国(三方FTA)、挪威、斯里兰卡、以色列、摩尔多瓦、巴拿马以及巴勒斯坦;处于升级谈判中的FTA有3个,分别是中国—新西兰FTA升级谈判、中国—韩国FTA第二阶段谈判、中国—秘鲁FTA升级谈判。另外还有8个FTA或FTA升级正处于研究中,伙伴方包括哥伦比亚、斐济、尼泊尔、巴布亚新几内亚、加拿大、孟加拉国、蒙古国以及瑞士(FTA升级)。
表6 中国已经实施及处于谈判/研究中的的FTA
注:对于已经实施的 FTA,对应的时间是实施日期。对于正在谈判的 FTA,对应的时间是谈判开始日期。*表示中国的双边 FTA 伙伴也是 RCEP 成员。资料来源:根据中国自由贸易区服务网(http://fta.mofcom.gov.cn/)的信息整理而得。
六、结论与启示
即使当前各国乃至世界经济遭受新冠疫情的巨大冲击,但在经济全球化趋势不可能逆转的情况下,追求更高层次、更高质量的经济开放与自由化,从而抓住和利用好经济全球化带来的机遇,仍然是各国和地区的战略选择。《区域全面经济伙伴关系协定》(RCEP)的达成就是一个最好的例证。
本文基于大规模详实的数据,分析了RCEP的经贸基础、一体化水平、规则和制度安排、中国与RCEP的经贸关系,以及亚太地区及中国的自贸区建设和发展趋势。本项研究对中国的政策启示是:(1)中国要推进FTA战略,应该慎重考虑自身与这些经济体是否具有现实的或潜在的价值链关联,因为价值链基础在很大程度上也是市场基础和企业微观基础,将直接影响甚至决定FTA战略举措的实施及其产生的收益。(2)要关注自身的FTA战略与全球及区域产业链、价值链、创新链变化趋势的互动关系。中国在推进FTA建设战略时,不仅要考虑全球及区域产业链、价值链和创新链变化对中国FTA建设的影响,而且还要考虑中国FTA建设对全球及区域产业链、价值链和创新链的影响。(3)中国在推动与更多国家达成更多FTA的同时,应该谋求构建更高水准的FTA,因为更高水准的FTA对自身的长远发展更有好处。
〔本文为教育部人文社科重点研究基地重大项目“全球价值链分工新趋势与中国价值链地位提升研究”(17JJD790001)与国家社会科学基金重大项目(专项立项)“促进我国产业迈向全球价值链中高端研究”(18VSJ056)的阶段性成果〕
为适应微信排版,已删除注释,请见谅。
关注我们
关注本刊微信公众号,请点击上方蓝色的“学术月刊”,或扫描左侧二维码。


