专注考研一站式资讯服务,涉及备考、复习,免费资料、辅导
复试、调剂、录取等所有环节您的考研之路将在我们的助力之下
乘风破浪、直济沧海!
只需要点击图片上边的《助力考研》即可!
【注】由于电子版题目字体较小,题目如果看不清,可以点击图片放大后观看。
答案在文章最底部,同学们记得做完对答案哦!
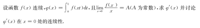
这是一道综合性题目,也是一道往年的真题!主要涉及变限积分函数求导、分段函数求导以及连续性的判定(极限值等于函数值),不少考生未能正确表示出ψ(x)的表达式,尤其是ψ(x)=0没看出来,导数求导的环节不够完整,后面连续性的讨论更是无从谈起。
更多好文在阅读原文


 
									