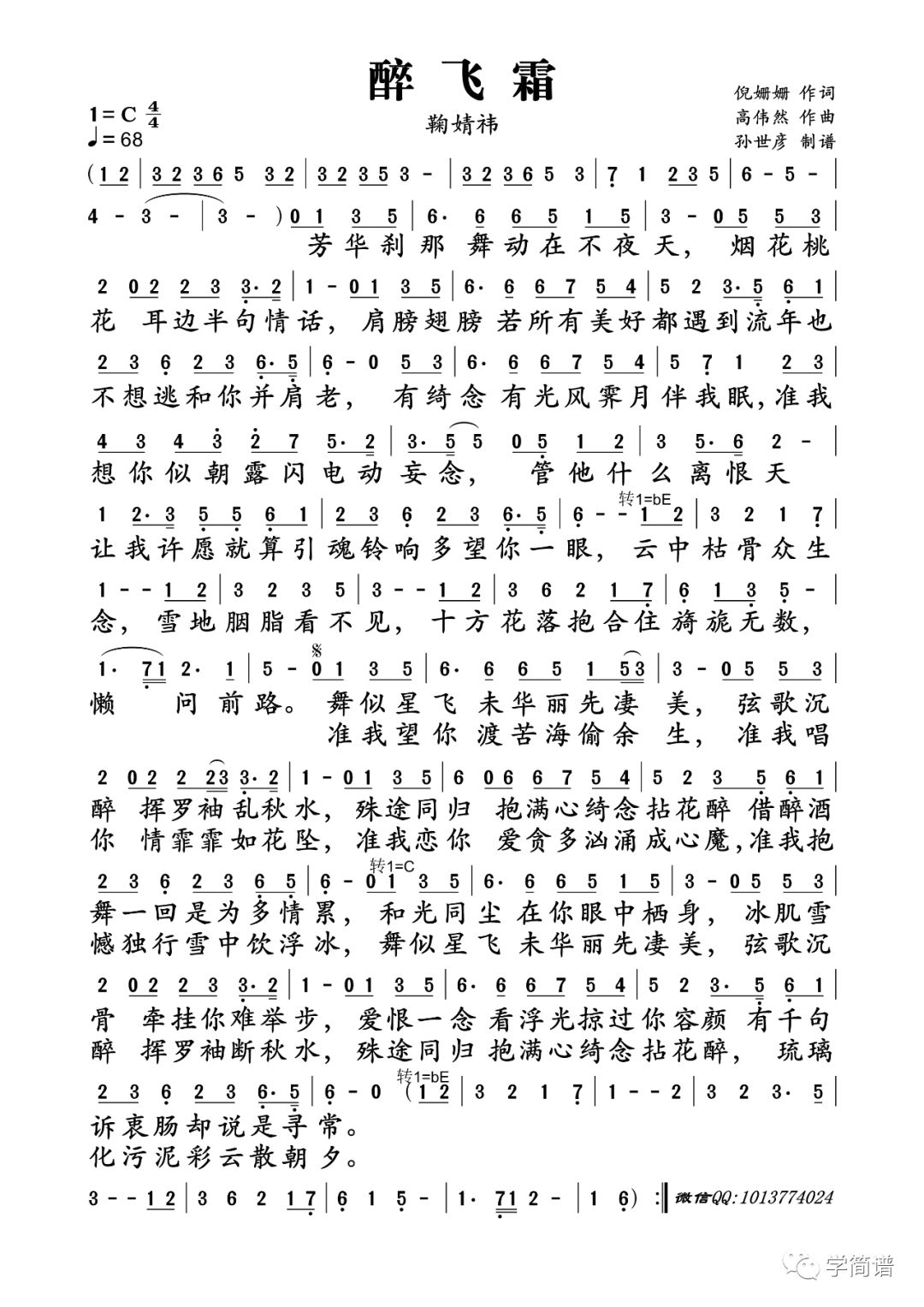
鞠婧祎 醉飞霜
醉飞霜 (《九州天空城》插曲) - 鞠婧祎
作词:倪姗姗
作曲:高伟然
制谱:孙世彦
芳华刹那 舞动在不夜天
烟花桃花 耳边半句情话
肩膀翅膀 若所有美好都遇到
流年也不想逃 和你并肩老
有绮念 有光风霁月伴我眠
准我想你似朝露闪电 动妄念
管他什么离恨天 让我许愿
就算引魂铃响 多望你一眼
云中枯骨众生念
雪地胭脂看不见
十方花落抱合住旖旎无数
懒问前路
舞似星飞 未华丽先凄美
弦歌沉醉 挥罗袖乱秋水
殊途同归 抱满心绮念拈花醉
借醉酒舞一回 是为多情累
和光同尘 在你眼中栖身
冰肌雪骨 牵挂你难举步
爱恨一念 看浮光掠过你容颜
有千句诉衷肠 却说是寻常
准我望你 渡苦海偷余生
准我唱你 情霏霏如花坠
准我恋你 爱贪多汹涌成心魔
准我抱憾独行 雪中饮浮冰
舞似星飞 未华丽先凄美
弦歌沉醉 挥罗袖断秋水
殊途同归 抱满心绮念拈花醉
琉璃化污泥 彩云散朝夕


