下面金桢勋所求解题目出处单位:
韩国崇实大学创新数学教室
机构简介
20 世纪教育的焦点在于智力开发, 而 21 世纪的教育焦点已转到了创新能力. 因为创新能力已经成为最重要的因素, 不仅关乎个人, 更关乎国家整体竞争力.
数学思维不仅能够开发(主管逻辑和分析思维的)左脑, 同时也能锻炼(主管创新和直观性思维的)右脑. 因此, 通过数学教育培养创新教育是最有效的教育方法.
为了弥补韩国数学教育中"通过数学活动开发创新性思维"的不足, 崇实大学数学系组成教研组, 通过强化教具的使用, 不断开发数学活动项目, 以完善数学教学和知识传播过程.
1999 年起, 教研组成功完成了韩国首套儿童创新能力系统性训练项目, 适用于 7 岁 ~ 12 岁儿童. 目前, 创新研究所的研究员以此为基础, 在韩国大学中首次开设"创新数学教室", 已有 200 余名学生参加.
官方网站: http://www.funmath.net
「以平和的心态思考并解答 」
金桢勋
智商146
韩国高考全国第67名
首尔大学医学院高材生
韩国演艺界性感大脑!
(小学高年级优等生~ 初中一年级优等生水平)
【题目出处及编审:崇实大学创新数学教室】
金桢勋
学习小技巧
1 题 请填入满足下列条件的数字
条件:
1. 矩形内的数字等于与其相邻的所有矩形中圈内数字之和。
2. 不包括该矩形本身圈内数字。
3. 各圈内的数字不能重复。
示例
清楚了题目要求后请在下面圈内填入1~8 的数字:
金桢勋的解题建议
① a+c+d = 10
② a+b+d+e+g+h = 33
③ b+c+e+f = 16
④ a + c + h = 11
⑤ d + e + h = 21
④ − ① → h=d+1 ⑥
② − ⑤ → a+b+g = 12 ⑦
将⑥代入⑤→ 2d+e=20 ⑧
由⑧可知,e 为偶数,又因为d 和e 都是小于8的自然数。
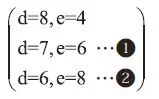
答案是以上结果中的一种,但如果d=8,那么根据⑥,h=9 不成立。
因此答案是{1} 和{2} 其中的一种。
若 {1} 成立,则d=7,e=6,h=8,代入①可得a+c=3
可得两种结果,即a=1,c=2 或a=2,c=1
即b、f、g 分别是3、4、5 中的一个将a=1 或a=2 代入⑦,不能满足b+g=10 或11 的条件
∵可知{1}d=6 e=8 → h=7 代入①→ a+c=4 → a=1,c=3 或a=3,c=1
同理,若a=1,代入⑦,b+g=11 不成立(因为b、f、g 分别为2、4、5 其中的一个)
∴ a=3,c=1,b+g=9 → b=4, g=5 或 b=5, g=4 代入③→ b+f=7 → f=2,b=5,g=4 得出a=3,b=5,c=1,d=6,e=8,f=2,g=4,h=7
因为a+b+c+d+e+f+g+h = 1+2+3+4+5+6+7+8=36
因为 f 不与 c 相邻
所以c+f=36-33=3
因此 c 和 f 分别是1 和 2
因为a+c+f=10,a+c+h=11
所以h=d+1
d+e+h=2d+e+1=21,2d+e=20,a+c+d=10
因为a 不等于1 或2,所以d≤6
若d=6 则e=8
若d≤5 则e≥10 不成立
因为e=8,d=6,h=7, b+c+e+f=16
所以b=5
a+b+d+e+g+h=33,a+g=33-26=7,a+g=3+4,a+c=4,c=1,
a=3,g=4
答案:a=3,b=5,c=1,d=6,e=8,f=2,g=4,h=7
02 题
请将以下图形按照红线剪开,并将所有碎片拼成一个正方形。
假设图中最小的正方形边长为1,则整个图形的
总面积为40.5.
即拼成的正方形边长为 sqrt(2) 的4.5 倍。因为每个小正方形的对角线长度为 sqrt(2) 根据这个长度,正方形可拼成如下形状.
03 题
上面为2006 年1 月份的日历:
假设有横 3 个、纵 3 个,共 9 个数字组成的正方形数字矩阵,使 9 个数字之和为 108。
请问该选哪 9 个数字?
设 9 个数字中最小的数字为 x,则正方形数字矩阵为
注意观察横3 纵3 组成的正方形的形状,可以从直观上看出,如果将最中间的数字设为 x 就能大大缩短解题时间!
这是更有效率的解题方法!
回答正确。这道题要求找出和为 108 的数字,需要用到“每周有 7 天”的常识。将中间的数字设为 x,需要观察并熟练运用数字的组成特征,并通过这一特征解题。通过这道题的解答可以看出,金桢勋具有突出的数学能力。
上文节选自《金桢勋的数学随笔》, 已获人邮图灵许可, [遇见数学] 特此表示感谢!
《金桢勋的数学随笔》


