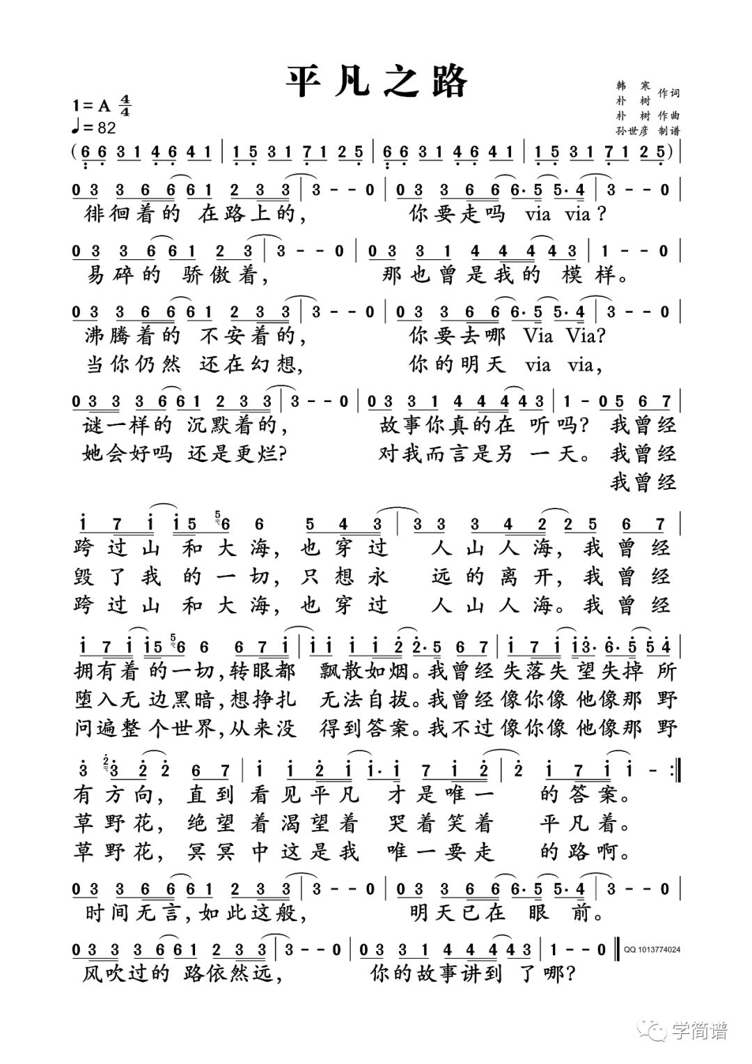
平凡之路- 朴树
制谱:孙世彦
徘徊着的 在路上的
你要走吗
易碎的 骄傲着
那也曾是我的模样
沸腾着的 不安着的
你要去哪
谜一样的 沉默着的
故事你真的在听吗
我曾经跨过山和大海
也穿过人山人海
我曾经拥有着一切
转眼都飘散如烟
我曾经失落失望失掉所有方向
直到看见平凡才是唯一的答案
当你仍然 还在幻想
你的明天
她会好吗 还是更烂
对我而言是另一天
我曾经毁了我的一切
只想永远地离开
我曾经堕入无边黑暗
想挣扎无法自拔
我曾经像你像他像那野草野花
绝望着 也渴望着 也哭也笑平凡着
向前走 就这么走
就算你被给过什么
向前走 就这么走
就算你被夺走什么
向前走 就这么走
就算你会错过什么
向前走 就这么走
就算你会
我曾经跨过山和大海
也穿过人山人海
我曾经拥有着一切
转眼都飘散如烟
我曾经失落失望失掉所有方向
直到看见平凡才是唯一的答案
我曾经毁了我的一切
只想永远地离开
我曾经堕入无边黑暗
想挣扎无法自拔
我曾经像你像他像那野草野花
绝望着 也渴望着 也哭也笑平凡着
我曾经跨过山和大海
也穿过人山人海
我曾经拥有着一切
转眼都飘散如烟
我曾经失落失望失掉所有方向
直到看见平凡才是唯一的答案
我曾经毁了我的一切
只想永远地离开
我曾经堕入无边黑暗
想挣扎无法自拔
我曾经像你像他像那野草野花
绝望着 也渴望着 也哭也笑平凡着
我曾经跨过山和大海
也穿过人山人海
我曾经问遍整个世界
从来没得到答案
我不过像你像他像那野草野花
冥冥中这是我 唯一要走的路啊
时间无言 如此这般
明天已在眼前
风吹过的 路依然远
你的故事讲到了哪


