点击蓝字关注
上次习题
例
数字特证
练练不忘,必有回响 ★135
看看今日的例题:
例
数字特证
(一定要自己做过之后再看解析哦)
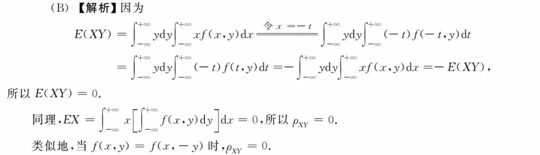
宇哥 · 解析
你做对了吗?
有疑问可在留言区告诉我们
助教老师会挑选集中的问题做出解答
掌握了这个题目的同学
再来做道题巩固下吧
例
数字特证
记得在留言区/私信写下你的答案哦!
将有机会在第二天的文章中上榜
被宇哥翻牌哦
(坚持写答案更容易考到150分)
答案及解析见明天
坚持奖励
往期必看
点击阅读全文
了解20考研数学全程班
点击蓝字关注
上次习题
数字特证
练练不忘,必有回响 ★135
看看今日的例题:
数字特证
(一定要自己做过之后再看解析哦)
宇哥 · 解析
你做对了吗?
有疑问可在留言区告诉我们
助教老师会挑选集中的问题做出解答
掌握了这个题目的同学
再来做道题巩固下吧
数字特证
记得在留言区/私信写下你的答案哦!
将有机会在第二天的文章中上榜
被宇哥翻牌哦
(坚持写答案更容易考到150分)
答案及解析见明天
坚持奖励
截止到7月31日
截止到7月31日
截止到7月31日
左右滑动查看更多奖品
往期必看
点击阅读全文
了解20考研数学全程班
