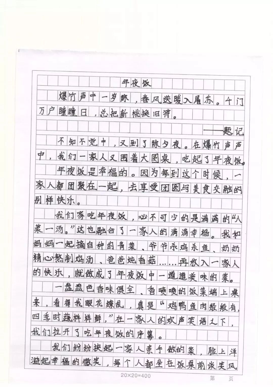
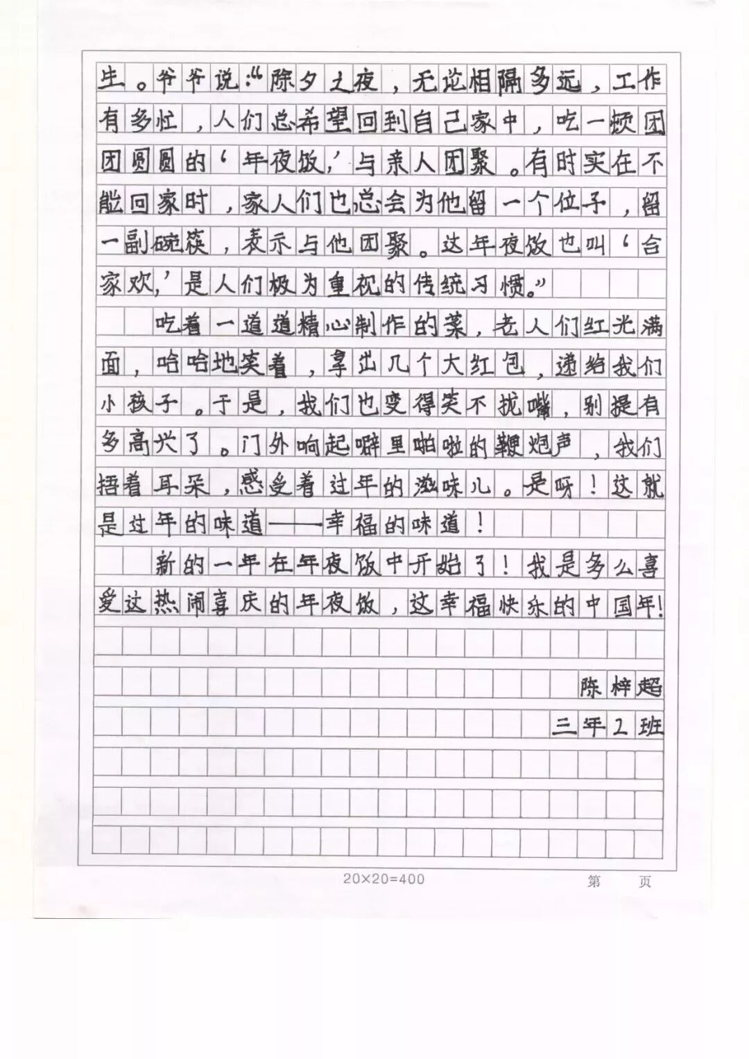
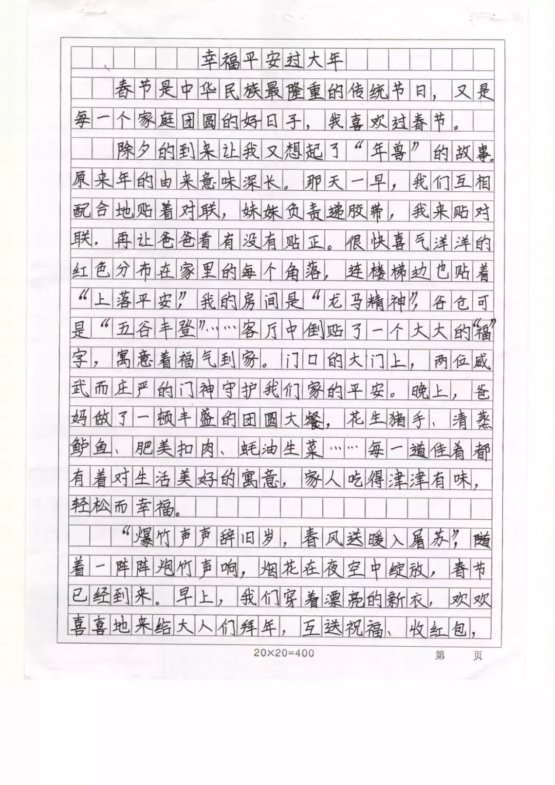
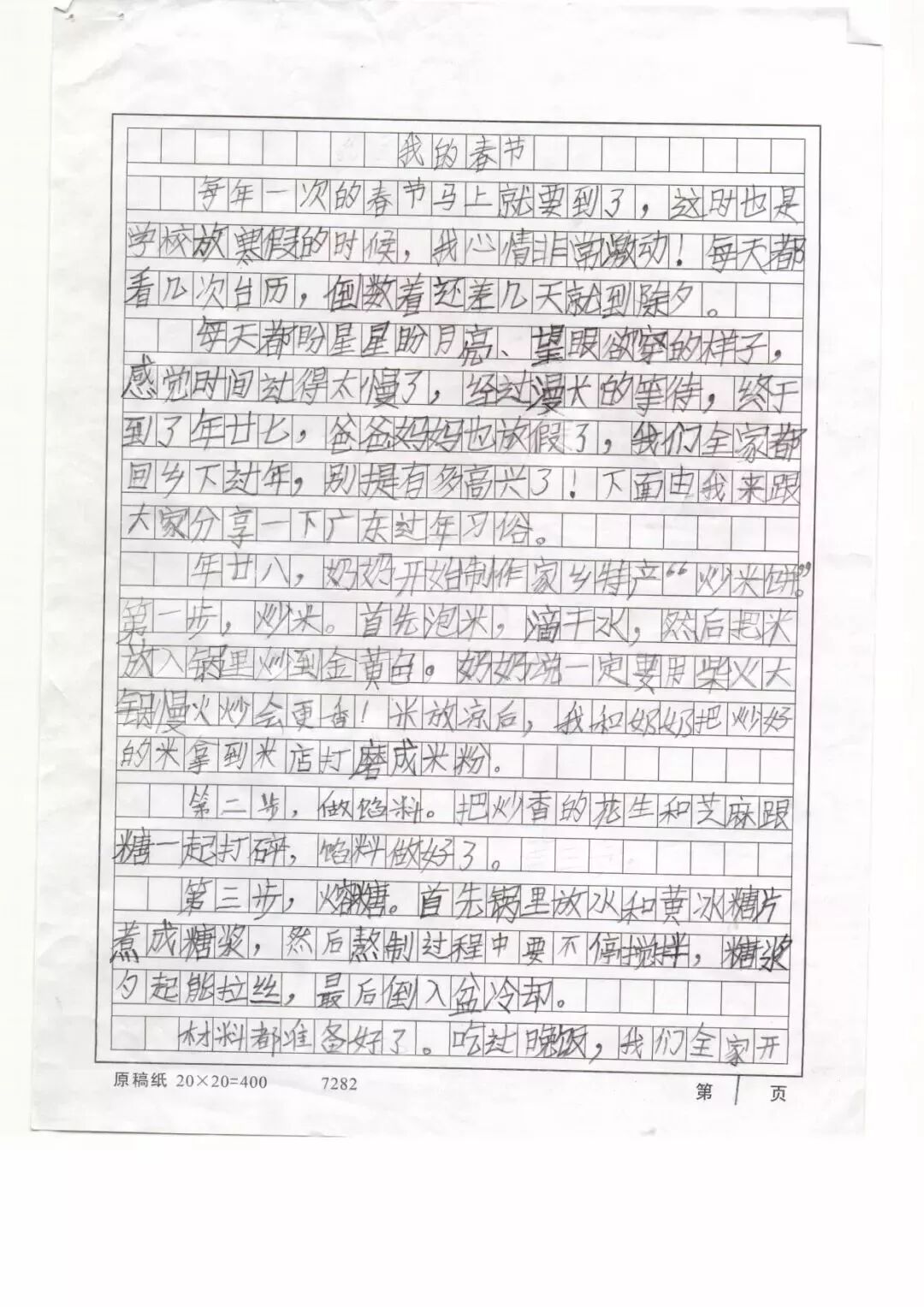
3月4日上午,汀根小学法制副校长何伟龙警官和黄立青校长一起为荣获2019年沙头街小学生“我的春节”征文比赛获奖的同学颁奖。
六(2)班 向宇翔
五(2)班 刘振轩
一(1)班 黎培林
二(2)班 谢宇灵
三(1)班 彭心怡
此外,黄校长还为荣获2019年沙头街小学生“我的春节”征文比赛获“校级”优秀奖的同学颁奖。
市桥汀根小学
办学理念:务本厚基,养正成人
办学特色:孝德立本,礼仪养正
校训:德智并美,艺能双馨
学校口号:务本求真,看我汀根
长按指纹识别二维码即可关注
3月4日上午,汀根小学法制副校长何伟龙警官和黄立青校长一起为荣获2019年沙头街小学生“我的春节”征文比赛获奖的同学颁奖。
六(2)班 向宇翔
五(2)班 刘振轩
一(1)班 黎培林
二(2)班 谢宇灵
三(1)班 彭心怡
此外,黄校长还为荣获2019年沙头街小学生“我的春节”征文比赛获“校级”优秀奖的同学颁奖。
市桥汀根小学
办学理念:务本厚基,养正成人
办学特色:孝德立本,礼仪养正
校训:德智并美,艺能双馨
学校口号:务本求真,看我汀根
长按指纹识别二维码即可关注
